Официальное опубликование правовых актов
ОФИЦИАЛЬНОЕ ОПУБЛИКОВАНИЕ
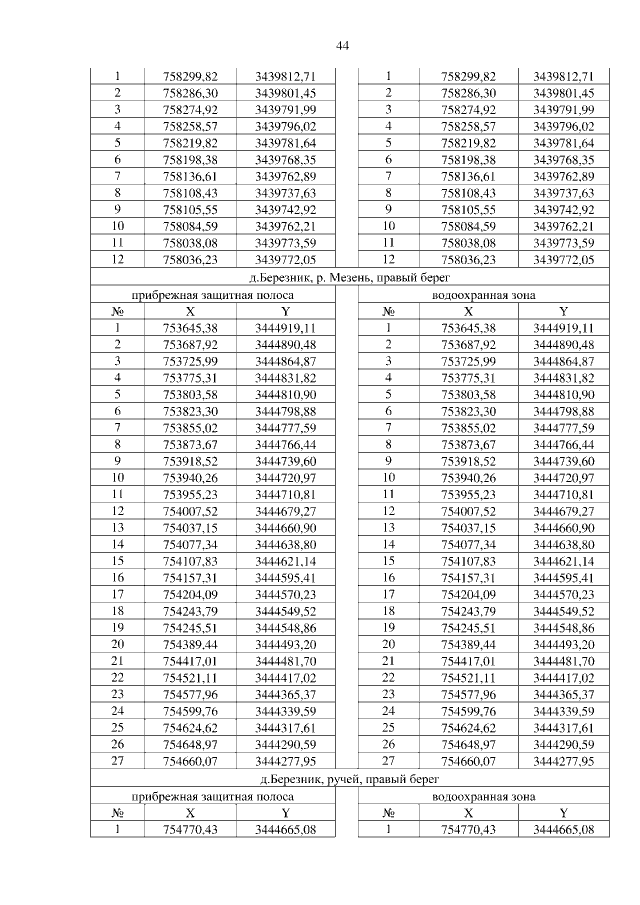
Постановление Министерства природных ресурсов и лесопромышленного комплекса Архангельской области от 07.03.2017 № 4п
"Об утверждении границ водоохранных зон водных объектов и их прибрежных защитных полос в бассейне р. Мезень на территории Архангельской области на участке от административной границы с Республикой Коми до впадения р. Мезень в Белое море, в границах поселений"
Номер опубликования: 2901201703100005
Дата опубликования: 10.03.2017
Страница №44 из 98:
Увеличить