Указ губернатора Архангельской области от 02.12.2025 № 137-у
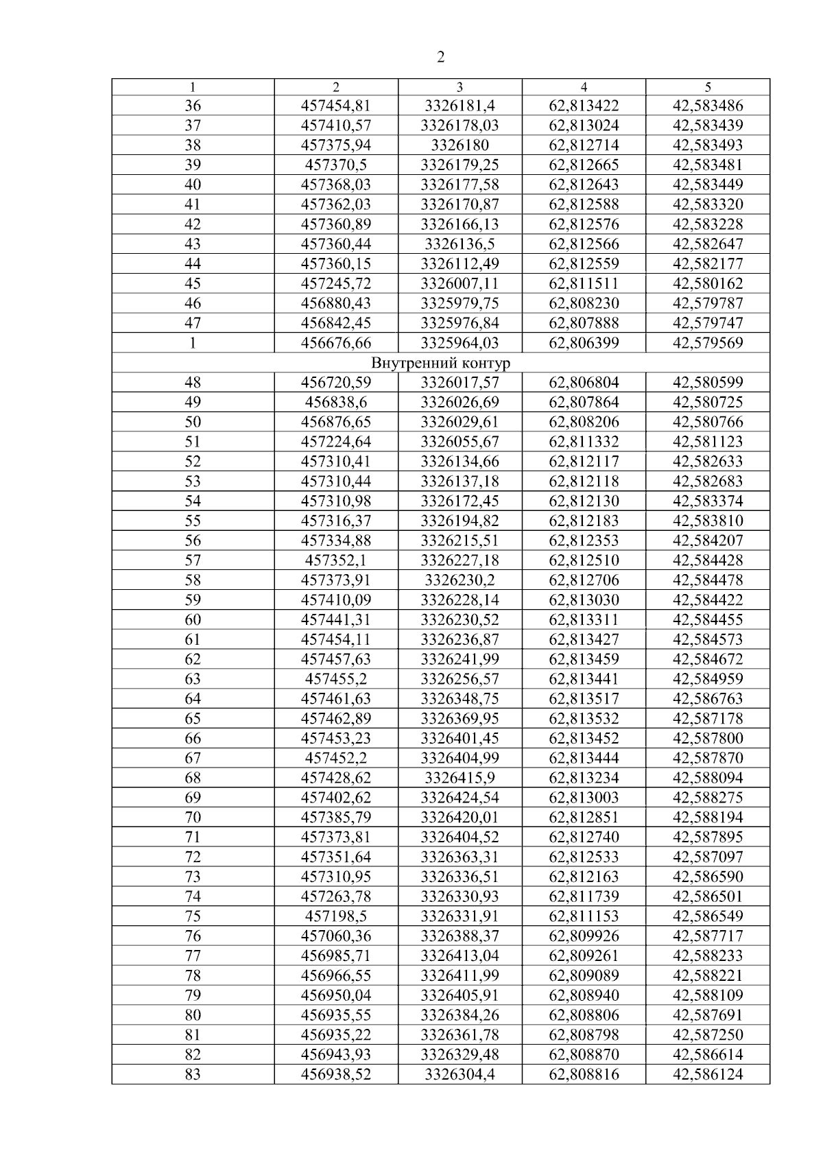
"Об установлении охранной зоны памятника природы регионального значения "Лесные культуры кедра "Совьи горы"
"Об установлении охранной зоны памятника природы регионального значения "Лесные культуры кедра "Совьи горы"
Номер опубликования: 2900202512080003
Дата опубликования:
08.12.2025
