Указ губернатора Архангельской области от 27.11.2025 № 132-у
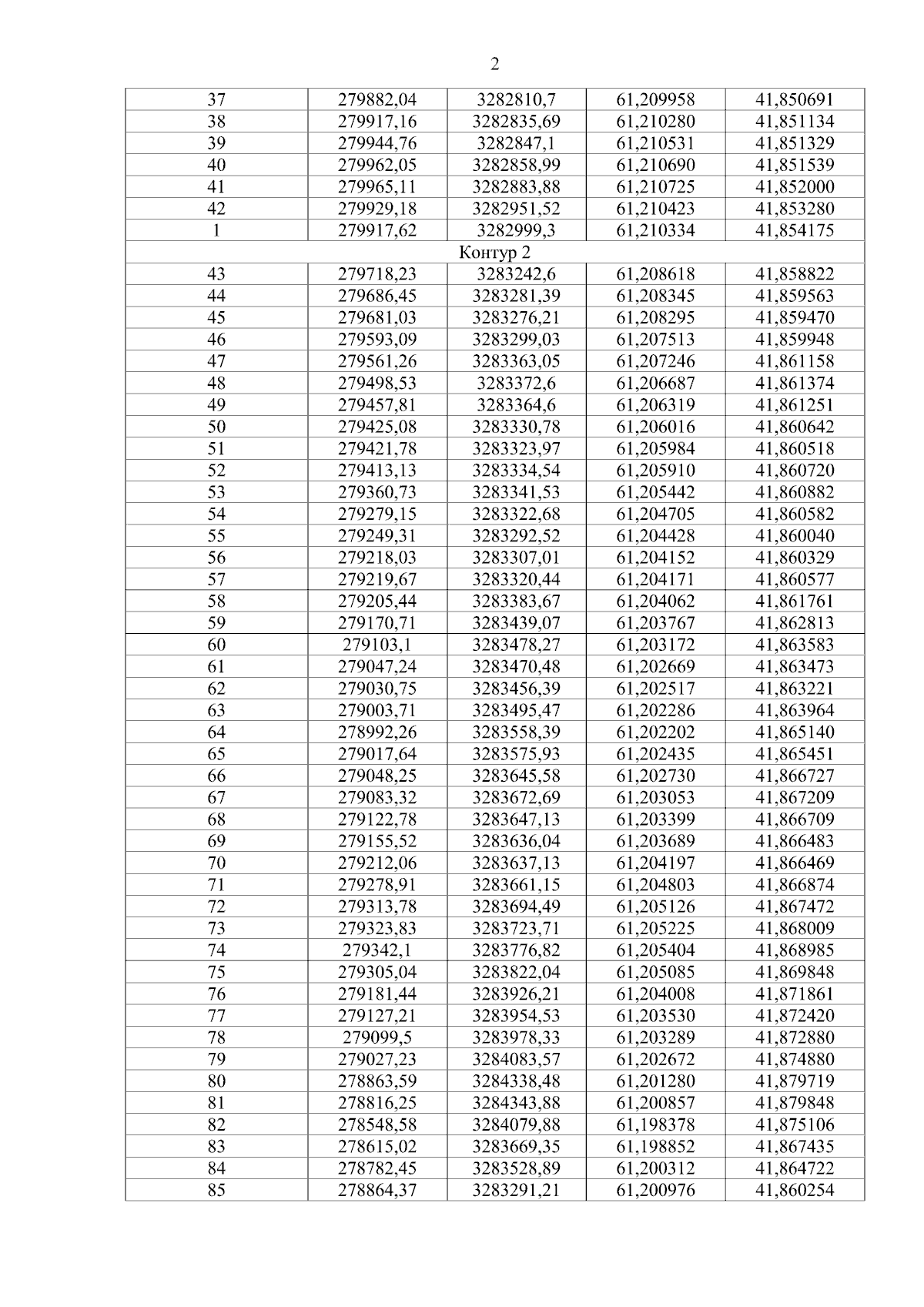
"Об установлении охранной зоны памятника природы регионального значения "Березниковский сосновый бор"
"Об установлении охранной зоны памятника природы регионального значения "Березниковский сосновый бор"
Номер опубликования: 2900202512030009
Дата опубликования:
03.12.2025
