Официальное опубликование правовых актов
ОФИЦИАЛЬНОЕ ОПУБЛИКОВАНИЕ
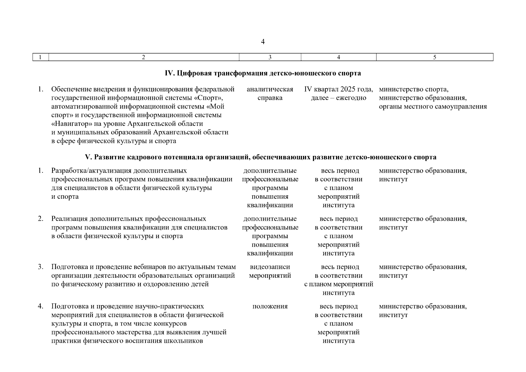
Постановление Правительства Архангельской области от 06.11.2025 № 983-пп
"Об утверждении программы развития детско-юношеского спорта в Архангельской области до 2030 года"
Номер опубликования: 2900202511070002
Дата опубликования: 07.11.2025
Страница №17 из 20:
Увеличить