Официальное опубликование правовых актов
ОФИЦИАЛЬНОЕ ОПУБЛИКОВАНИЕ
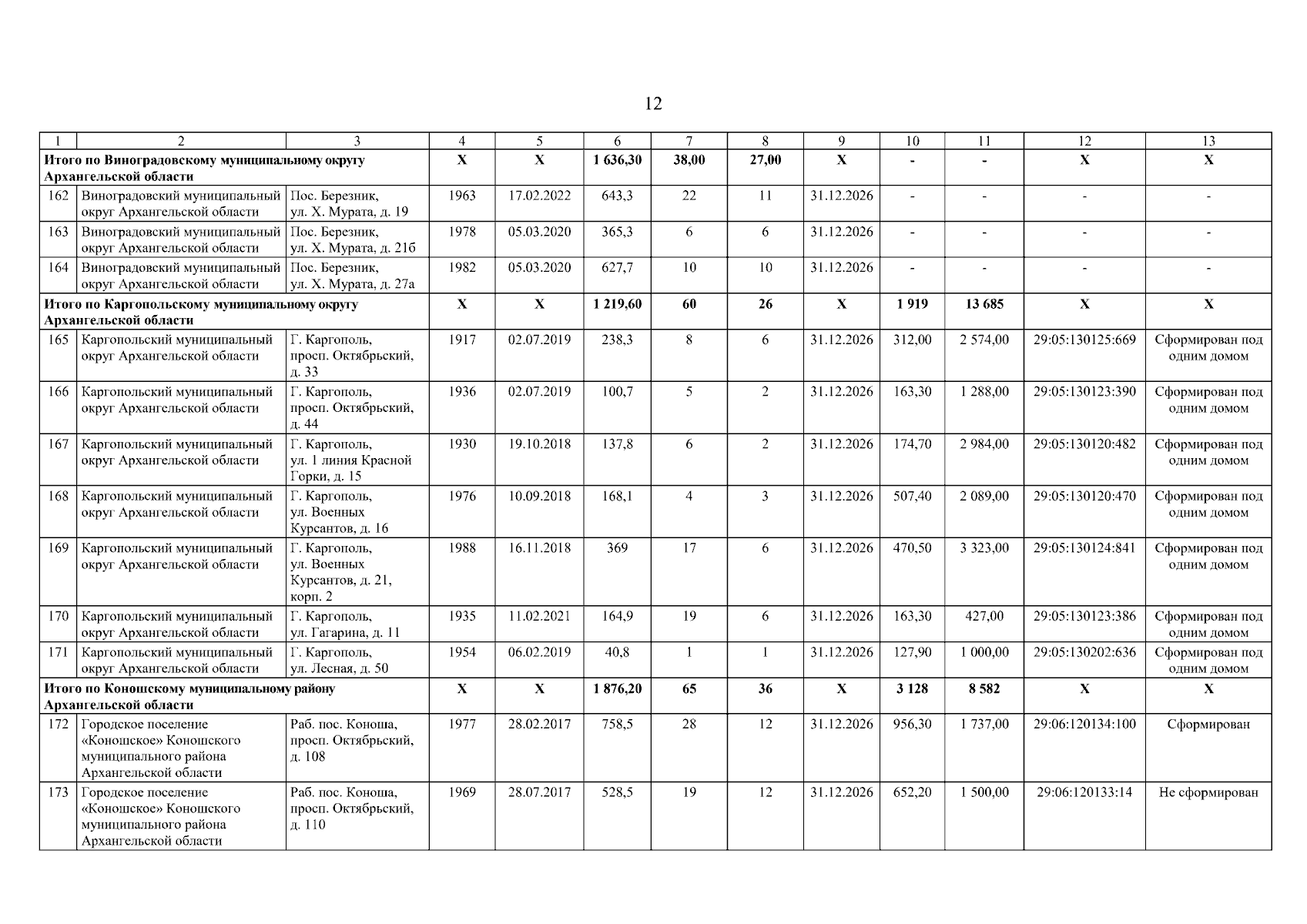
Постановление Правительства Архангельской области от 29.09.2025 № 834-пп
"Об утверждении адресной программы Архангельской области "Переселение граждан из аварийного жилищного фонда на 2025 и 2026 годы"
Номер опубликования: 2900202510030001
Дата опубликования: 03.10.2025
Страница №34 из 59:
Увеличить