Официальное опубликование правовых актов
ОФИЦИАЛЬНОЕ ОПУБЛИКОВАНИЕ
Постановление Правительства Архангельской области от 31.07.2025 № 668-пп
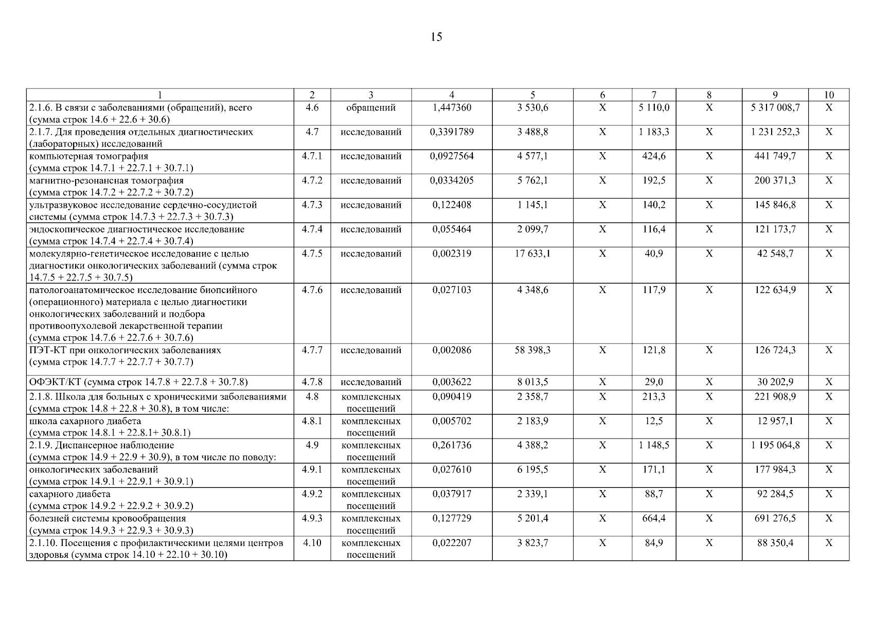
"О внесении изменений в территориальную программу государственных гарантий бесплатного оказания гражданам медицинской помощи в Архангельской области на 2025 год и на плановый период 2026 и 2027 годов"
Номер опубликования: 2900202508040002
Дата опубликования: 04.08.2025
Страница №16 из 50:
Увеличить