Официальное опубликование правовых актов
ОФИЦИАЛЬНОЕ ОПУБЛИКОВАНИЕ
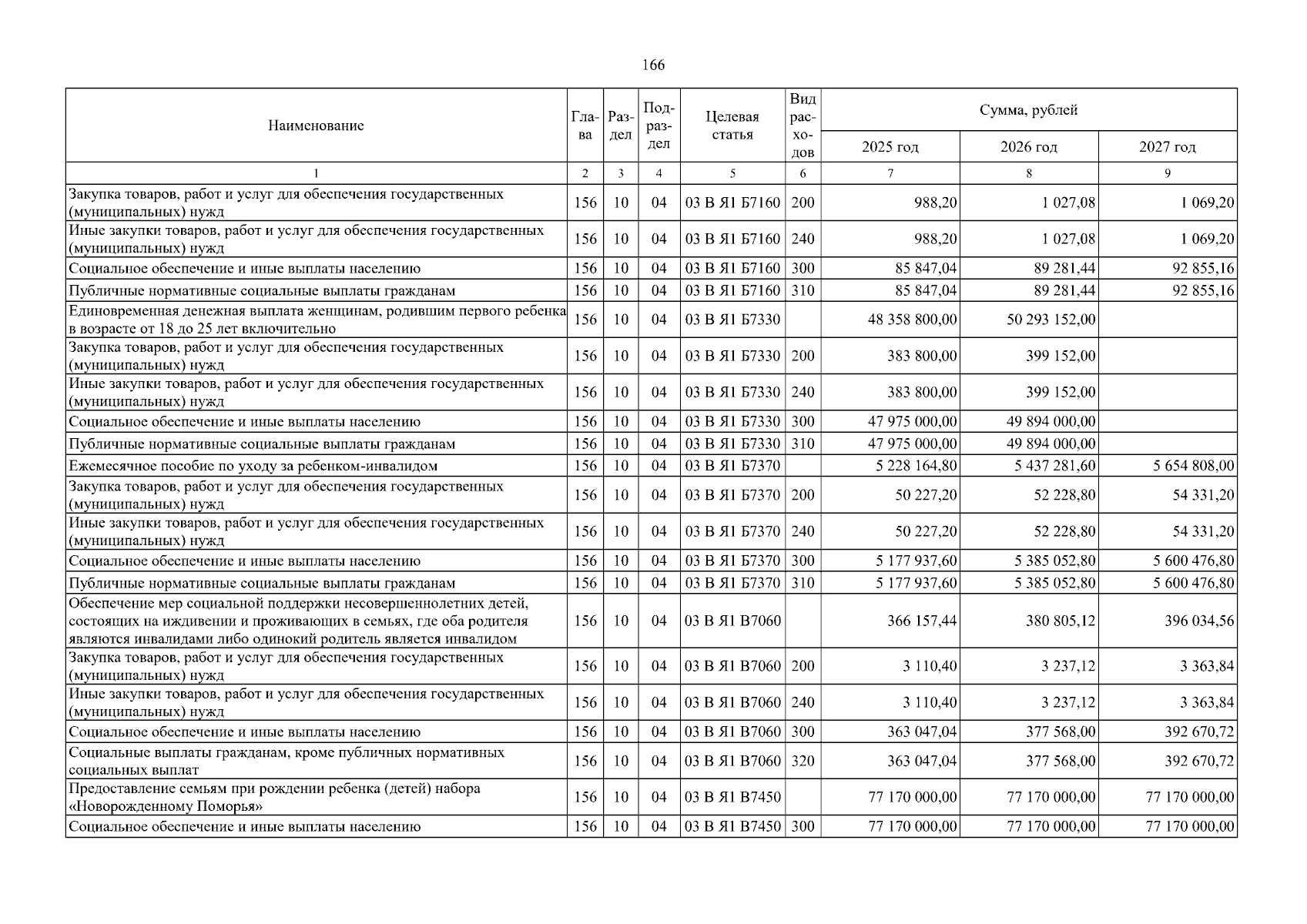
Областной закон Архангельской области от 30.06.2025 № 249-18-ОЗ
"О внесении изменений в областной закон "Об областном бюджете на 2025 год и на плановый период 2026 и 2027 годов"
Номер опубликования: 2900202507010007
Дата опубликования: 01.07.2025
Страница №195 из 420:
Увеличить