Официальное опубликование правовых актов
ОФИЦИАЛЬНОЕ ОПУБЛИКОВАНИЕ
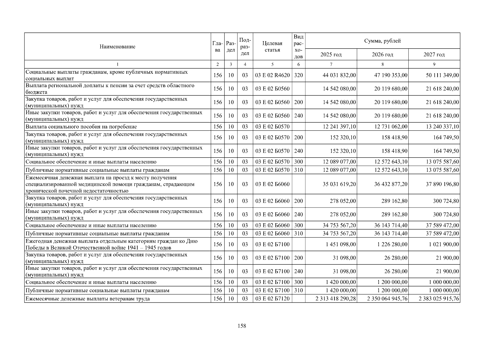
Областной закон Архангельской области от 27.05.2025 № 236-17-ОЗ
"О внесении изменений и дополнений в областной закон "Об областном бюджете на 2025 год и на плановый период 2026 и 2027 годов"
Номер опубликования: 2900202505280001
Дата опубликования: 28.05.2025
Страница №180 из 420:
Увеличить