Официальное опубликование правовых актов
ОФИЦИАЛЬНОЕ ОПУБЛИКОВАНИЕ
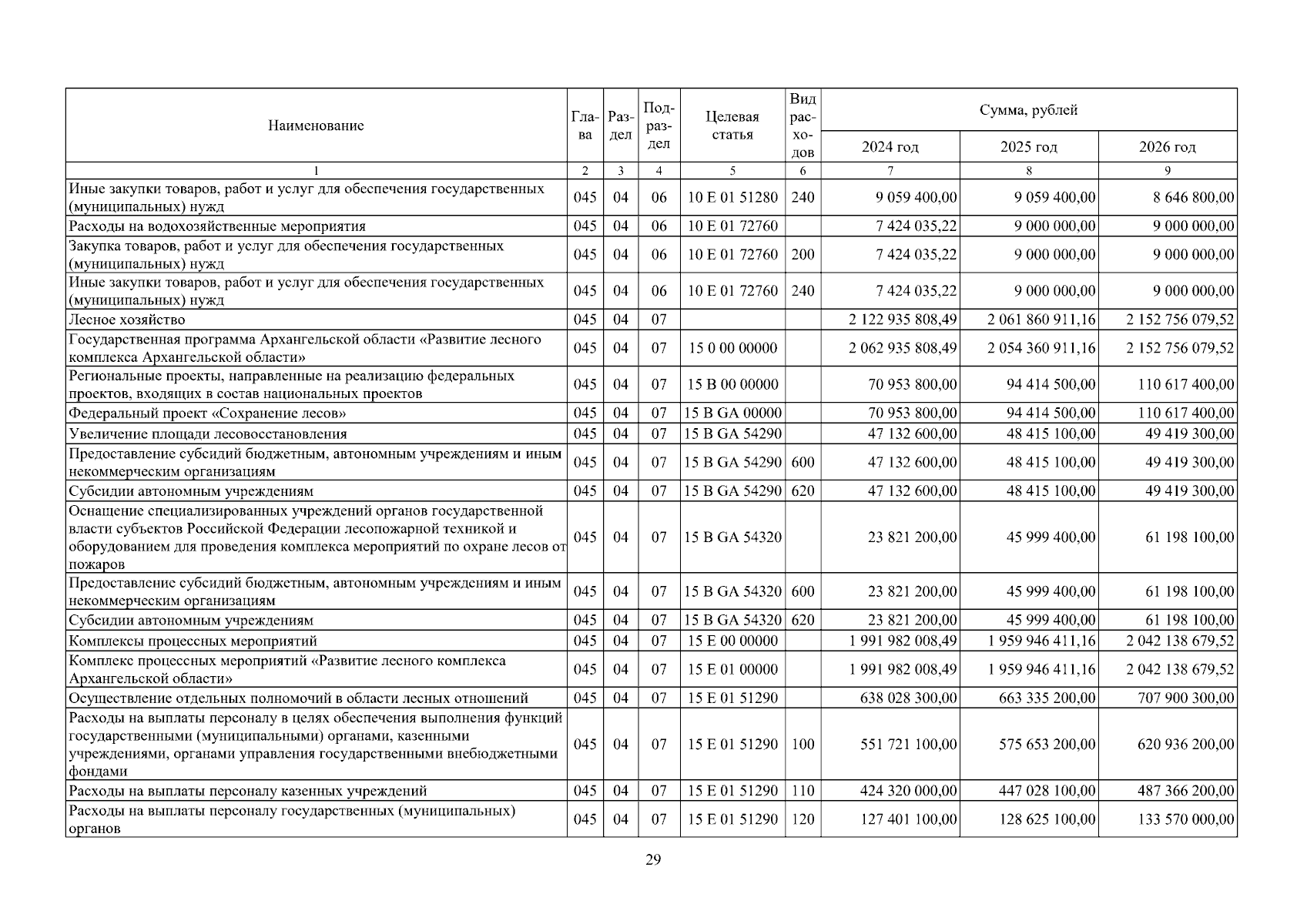
Областной закон Архангельской области от 29.10.2024 № 155-11-ОЗ
"О внесении изменений и дополнений в областной закон "Об областном бюджете на 2024 год и на плановый период 2025 и 2026 годов"
Номер опубликования: 2900202410290014
Дата опубликования: 29.10.2024
Страница №43 из 431:
Увеличить