Официальное опубликование правовых актов
ОФИЦИАЛЬНОЕ ОПУБЛИКОВАНИЕ
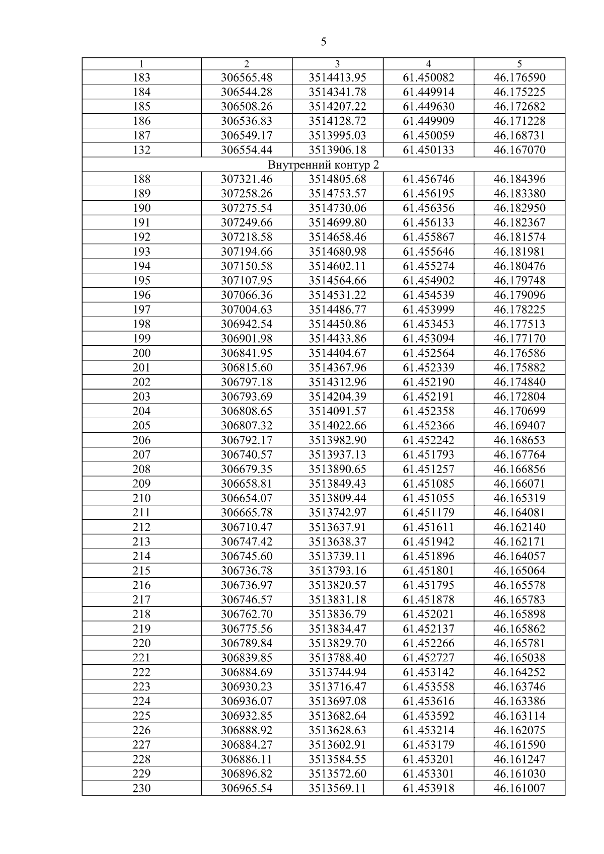
Указ Губернатора Архангельской области от 04.10.2024 № 116-у
"Об установлении охранной зоны памятника природы регионального значения "Естественные насаждения − сосновый бор с примесью еловых насаждений"
Номер опубликования: 2900202410110002
Дата опубликования: 11.10.2024
Страница №7 из 15:
Увеличить