Официальное опубликование правовых актов
ОФИЦИАЛЬНОЕ ОПУБЛИКОВАНИЕ
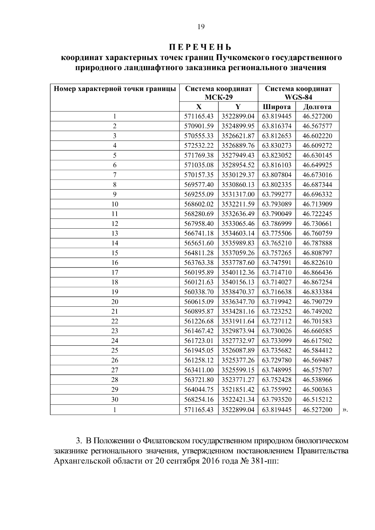
Постановление Правительства Архангельской области от 20.09.2024 № 746-пп
"О внесении изменений в некоторые положения о заказниках регионального значения"
Номер опубликования: 2900202409240008
Дата опубликования: 24.09.2024
Страница №20 из 110:
Увеличить