Официальное опубликование правовых актов
ОФИЦИАЛЬНОЕ ОПУБЛИКОВАНИЕ
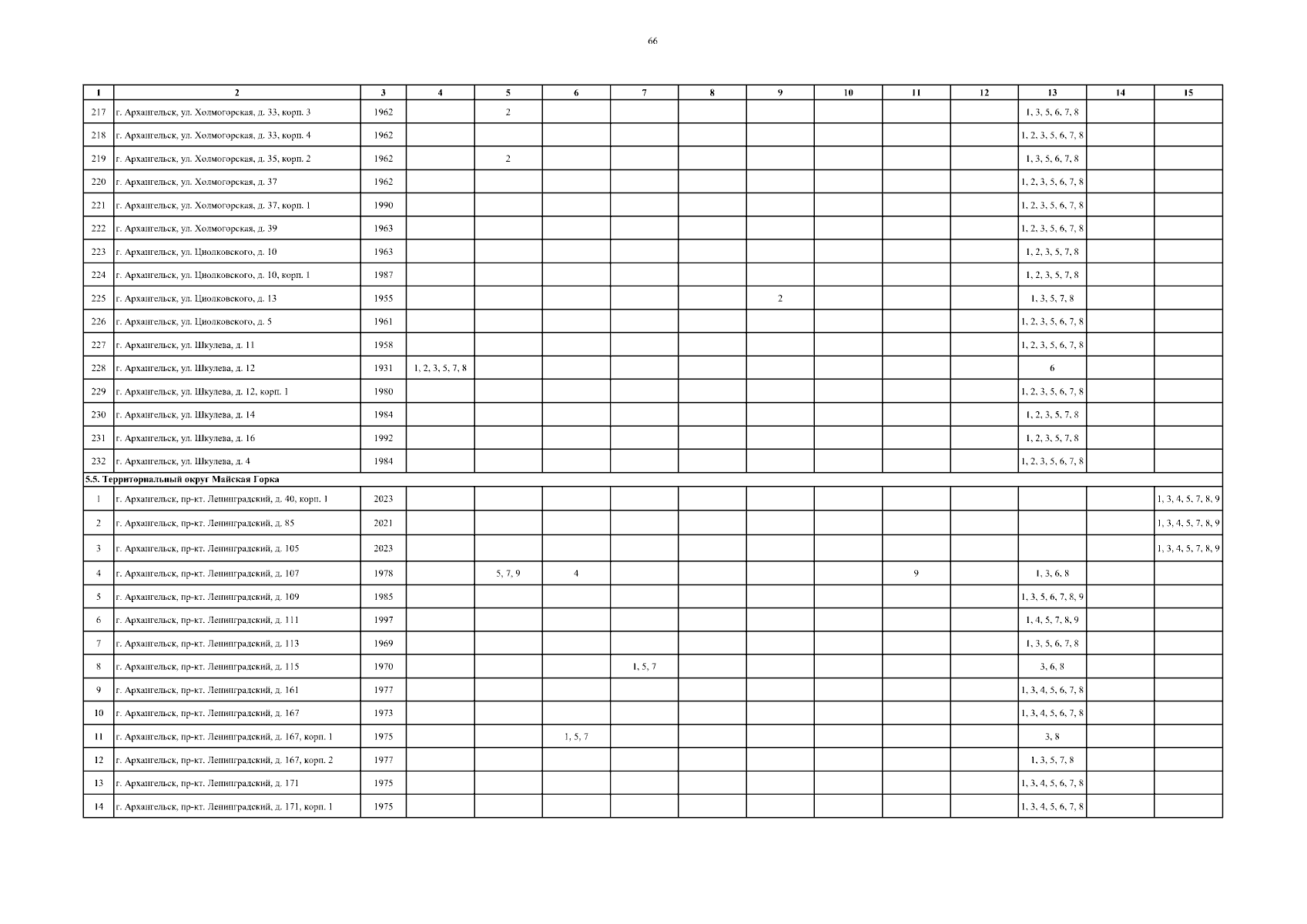
Постановление Правительства Архангельской области от 16.07.2024 № 540-пп
"О внесении изменений в региональную программу капитального ремонта общего имущества в многоквартирных домах, расположенных на территории Архангельской области"
Номер опубликования: 2900202407180004
Дата опубликования: 18.07.2024
Страница №69 из 304:
Увеличить