Официальное опубликование правовых актов
ОФИЦИАЛЬНОЕ ОПУБЛИКОВАНИЕ
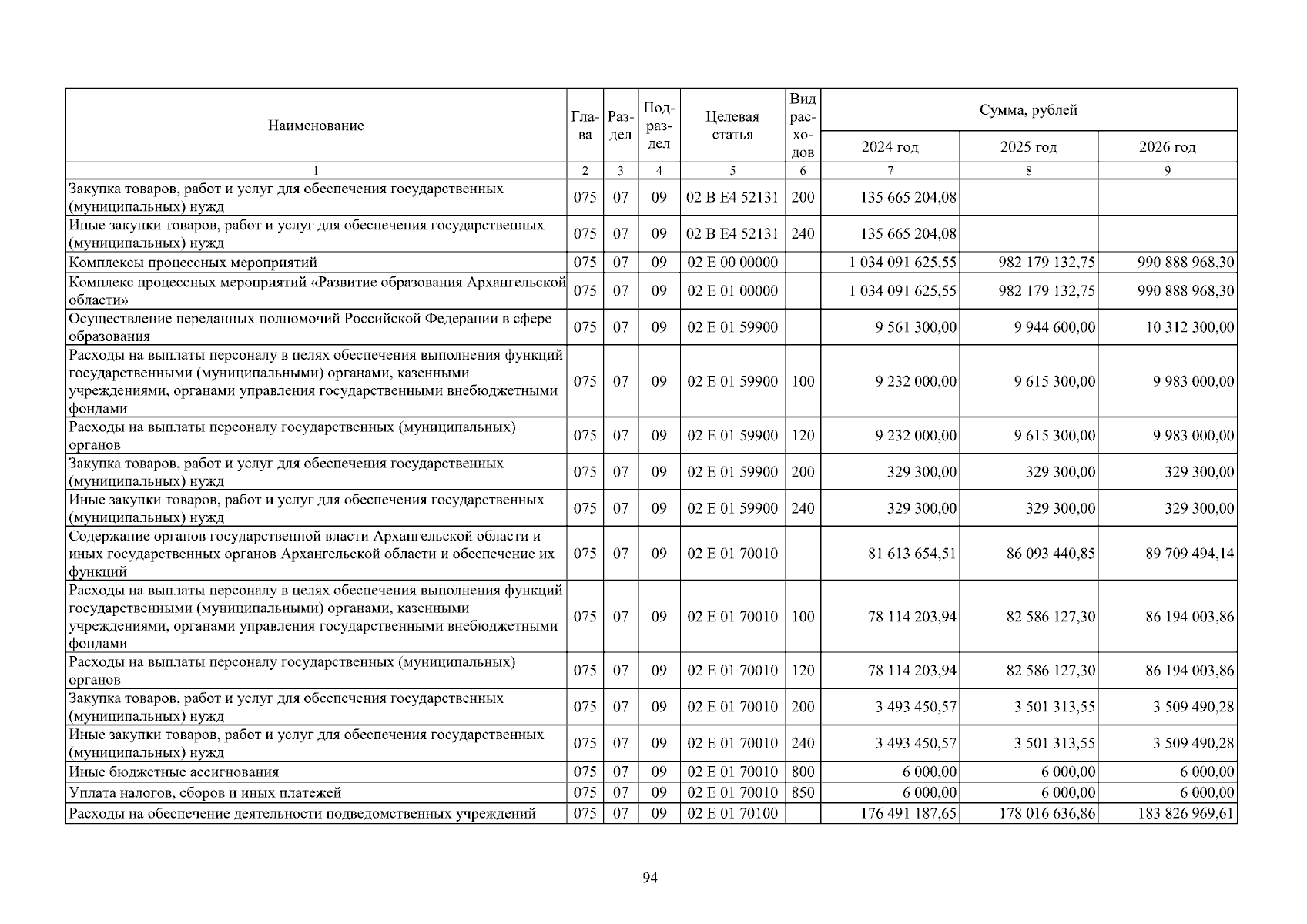
Областной закон Архангельской области от 01.07.2024 № 101-9-ОЗ
"О внесении изменений и дополнений в областной закон "Об областном бюджете на 2024 год и на плановый период 2025 и 2026 годов"
Номер опубликования: 2900202407010001
Дата опубликования: 01.07.2024
Страница №101 из 414:
Увеличить