Официальное опубликование правовых актов
ОФИЦИАЛЬНОЕ ОПУБЛИКОВАНИЕ
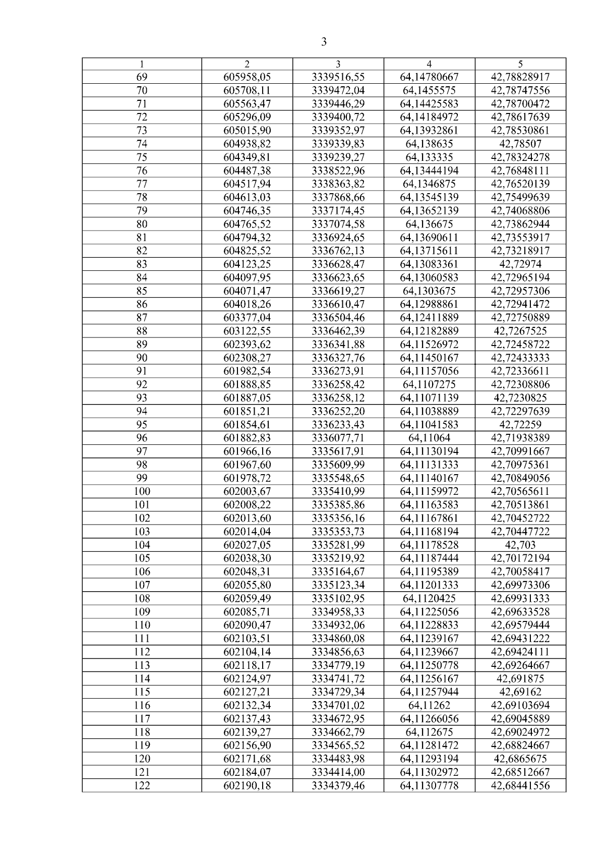
Постановление Правительства Архангельской области от 14.06.2024 № 453-пп
"О внесении изменений в Положение о Чугском государственном природном ландшафтном заказнике регионального значения"
Номер опубликования: 2900202406170006
Дата опубликования: 17.06.2024
Страница №4 из 7:
Увеличить