Официальное опубликование правовых актов
ОФИЦИАЛЬНОЕ ОПУБЛИКОВАНИЕ
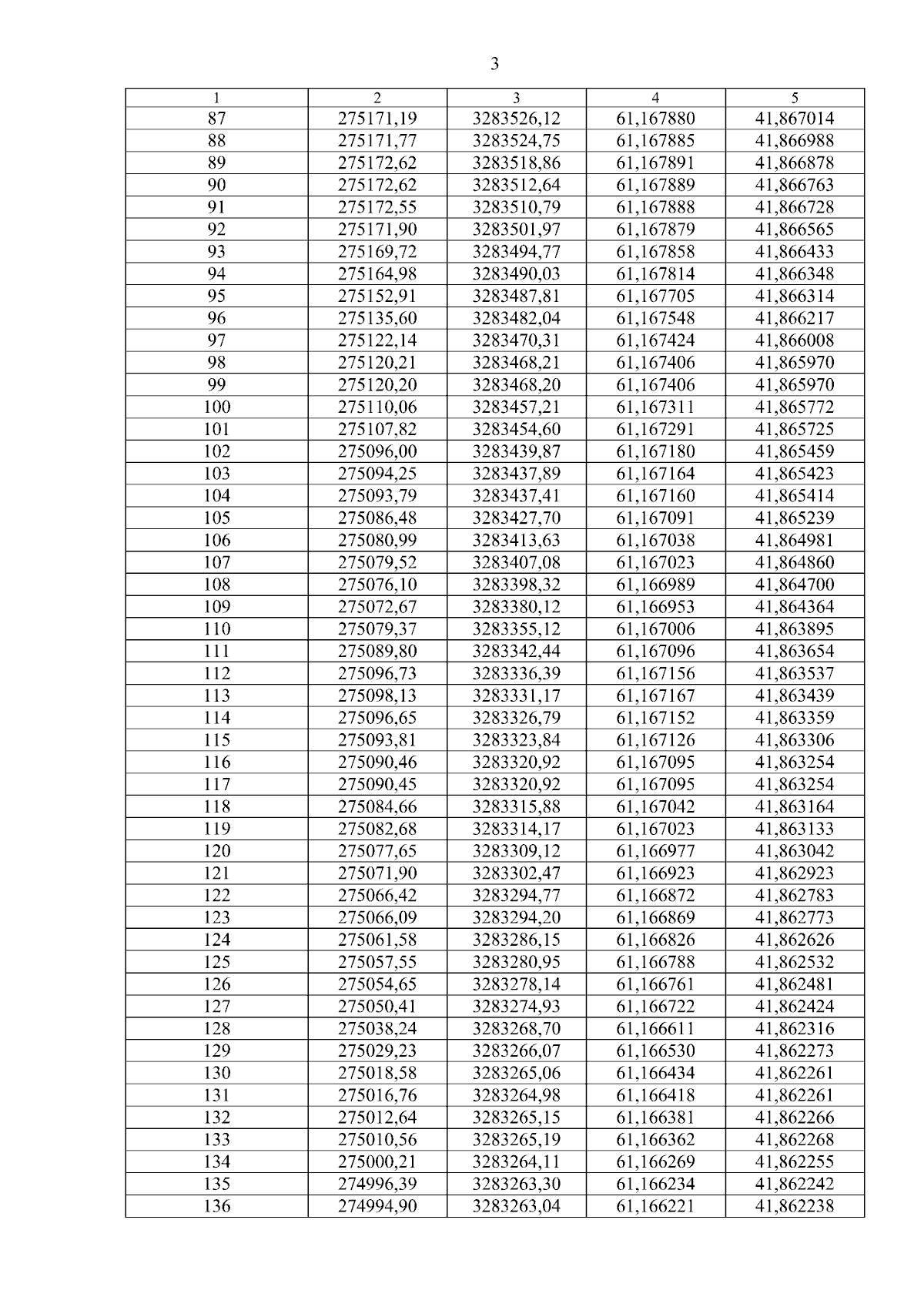
Указ губернатора Архангельской области от 04.06.2024 № 56-у
"Об установлении охранной зоны памятника природы регионального значения "Кореневский сосновый бор"
Номер опубликования: 2900202406100007
Дата опубликования: 10.06.2024
Страница №5 из 18:
Увеличить