Указ губернатора Архангельской области от 04.06.2024 № 56-у
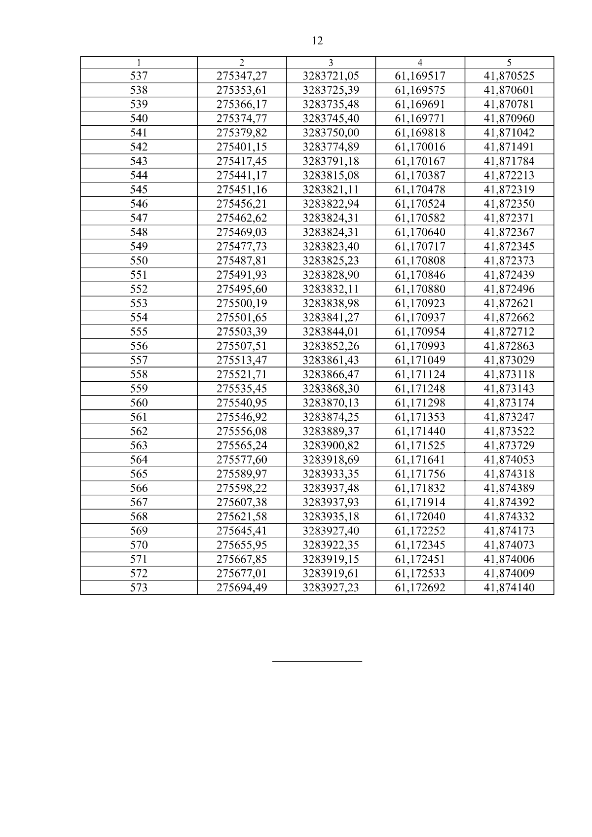
"Об установлении охранной зоны памятника природы регионального значения "Кореневский сосновый бор"
"Об установлении охранной зоны памятника природы регионального значения "Кореневский сосновый бор"
Номер опубликования: 2900202406100007
Дата опубликования:
10.06.2024
