Официальное опубликование правовых актов
ОФИЦИАЛЬНОЕ ОПУБЛИКОВАНИЕ
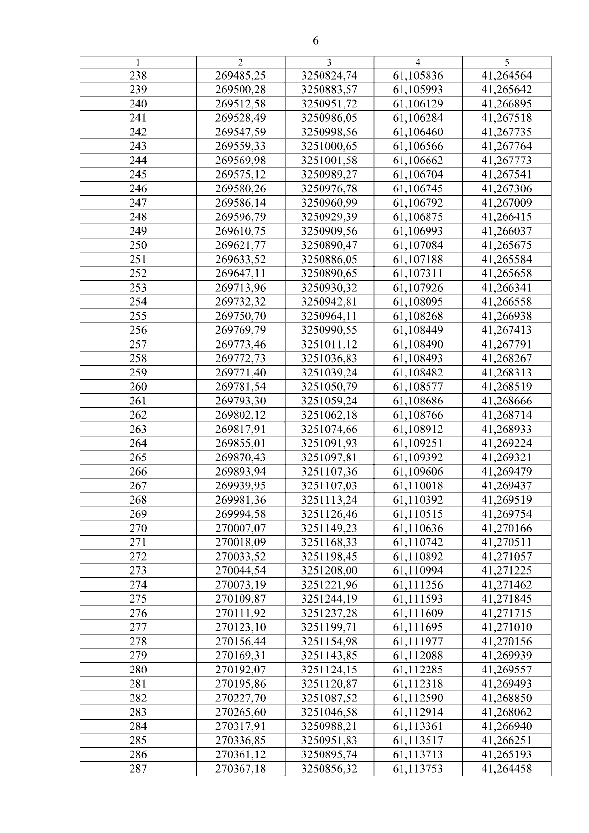
Указ губернатора Архангельской области от 04.06.2024 № 58-у
"Об установлении охранной зоны памятника природы регионального значения "Рылковский бор"
Номер опубликования: 2900202406100004
Дата опубликования: 10.06.2024
Страница №8 из 13:
Увеличить