Официальное опубликование правовых актов
ОФИЦИАЛЬНОЕ ОПУБЛИКОВАНИЕ
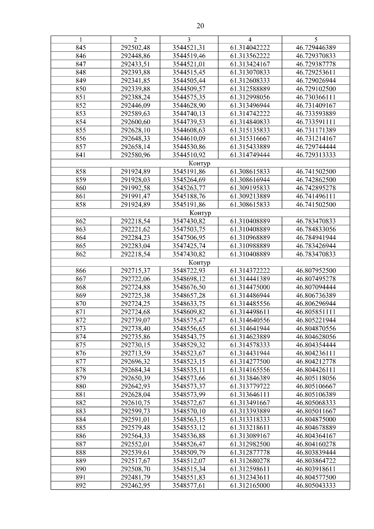
Постановление Правительства Архангельской области от 13.05.2024 № 355-пп
"О внесении изменений в Положение о Сольвычегодском государственном природном биологическом заказнике регионального значения и в Положение об Устьянском государственном природном биологическом заказнике регионального значения"
Номер опубликования: 2900202405160005
Дата опубликования: 16.05.2024
Страница №21 из 142:
Увеличить