Официальное опубликование правовых актов
ОФИЦИАЛЬНОЕ ОПУБЛИКОВАНИЕ
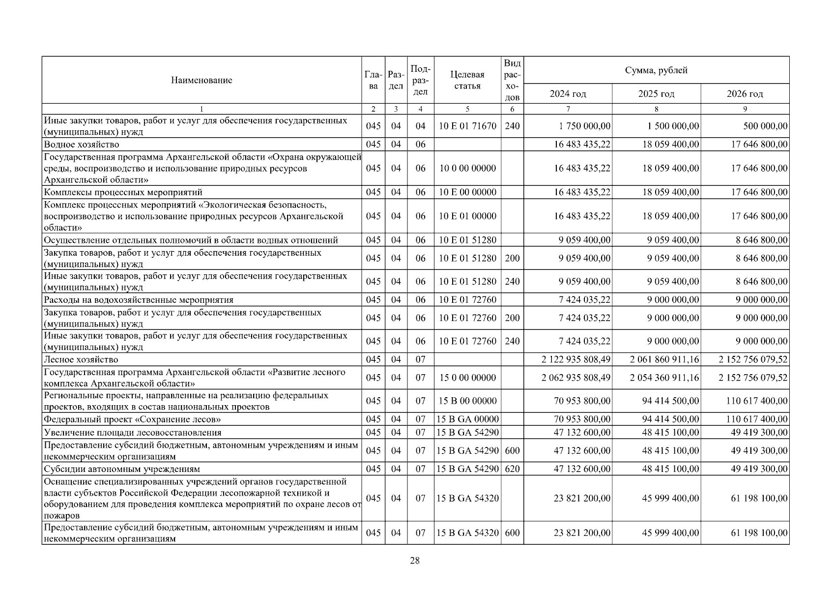
Областной закон Архангельской области от 27.04.2024 № 89-7-ОЗ
"О внесении изменений в областной закон "Об областном бюджете на 2024 год и на плановый период 2025 и 2026 годов"
Номер опубликования: 2900202405020018
Дата опубликования: 02.05.2024
Страница №57 из 444:
Увеличить