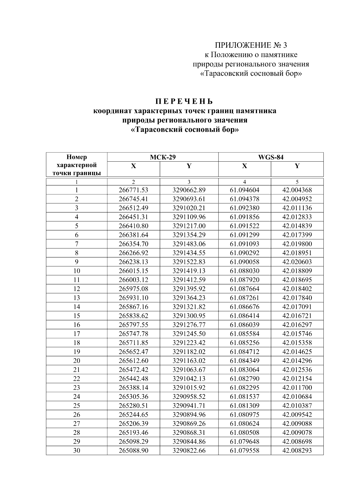
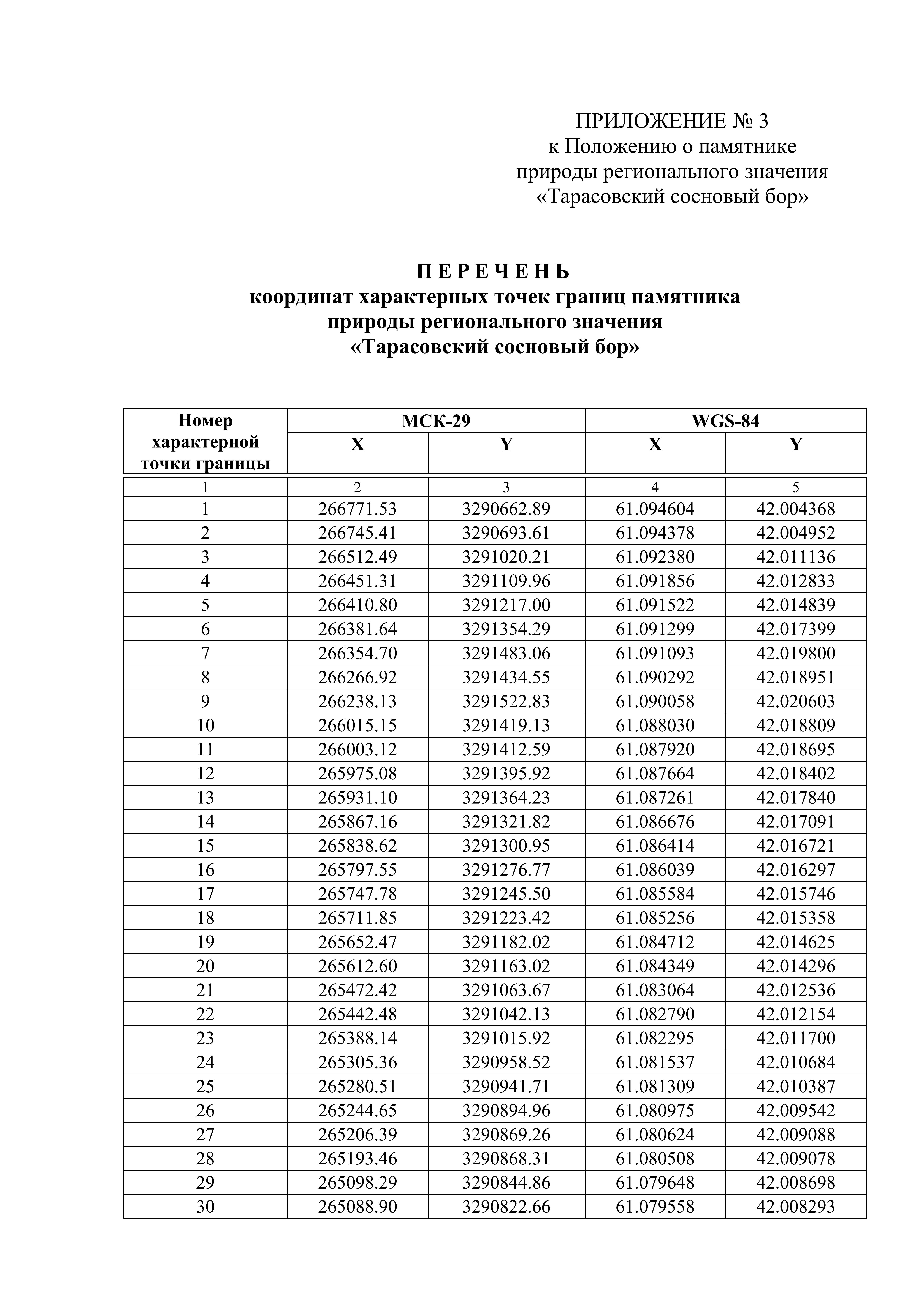
Постановление Правительства Архангельской области от 12.02.2024 № 104-пп
"Об утверждении Положения о памятнике природы регионального значения "Тарасовский сосновый бор"
"Об утверждении Положения о памятнике природы регионального значения "Тарасовский сосновый бор"
Номер опубликования: 2900202402130003
Дата опубликования:
13.02.2024
