Официальное опубликование правовых актов
ОФИЦИАЛЬНОЕ ОПУБЛИКОВАНИЕ
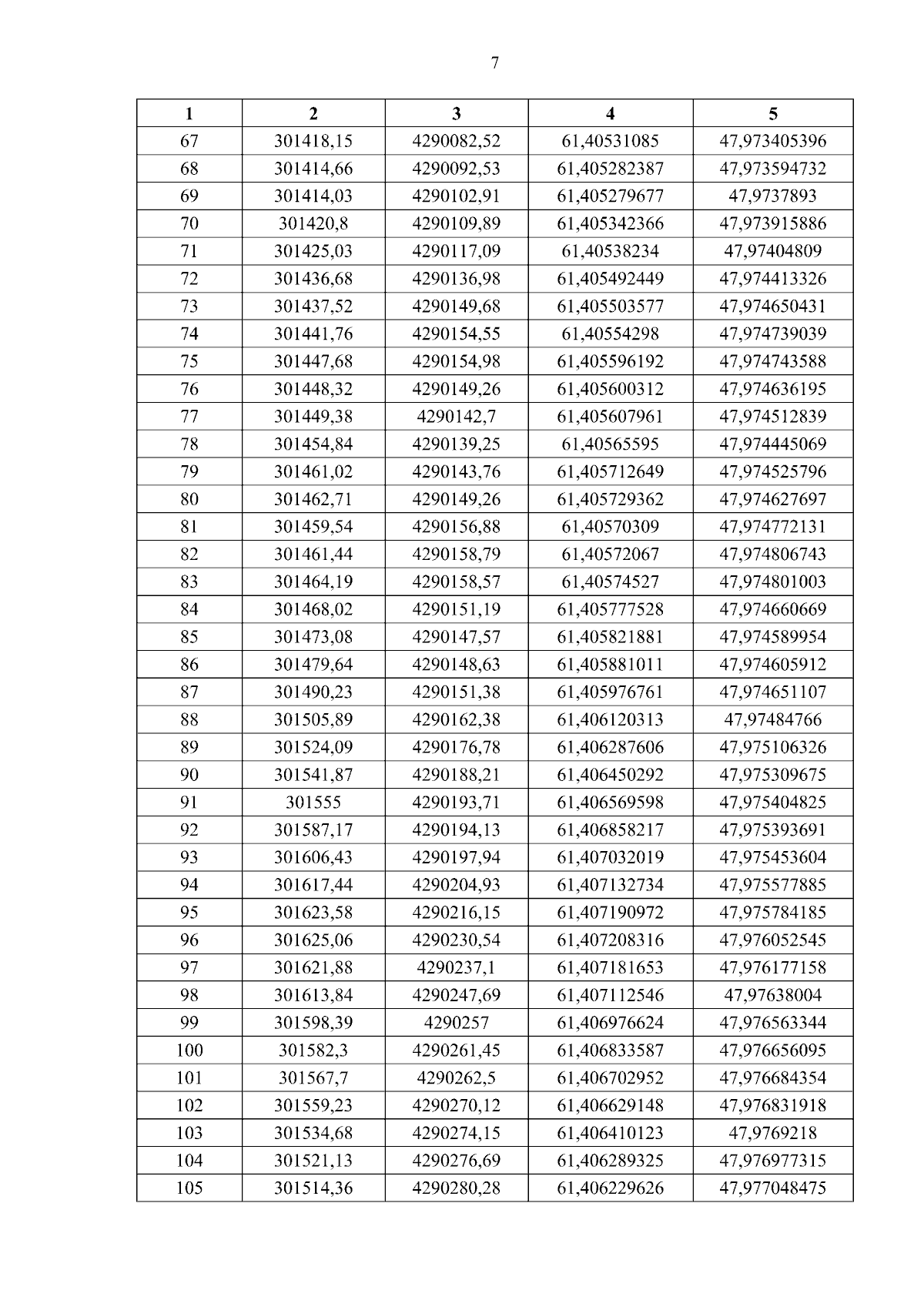
Постановление Правительства Архангельской области от 22.01.2024 № 35-пп
"О внесении изменений в отдельные положения о заказниках регионального значения"
Номер опубликования: 2900202401250007
Дата опубликования: 25.01.2024
Страница №8 из 79:
Увеличить