Официальное опубликование правовых актов
ОФИЦИАЛЬНОЕ ОПУБЛИКОВАНИЕ
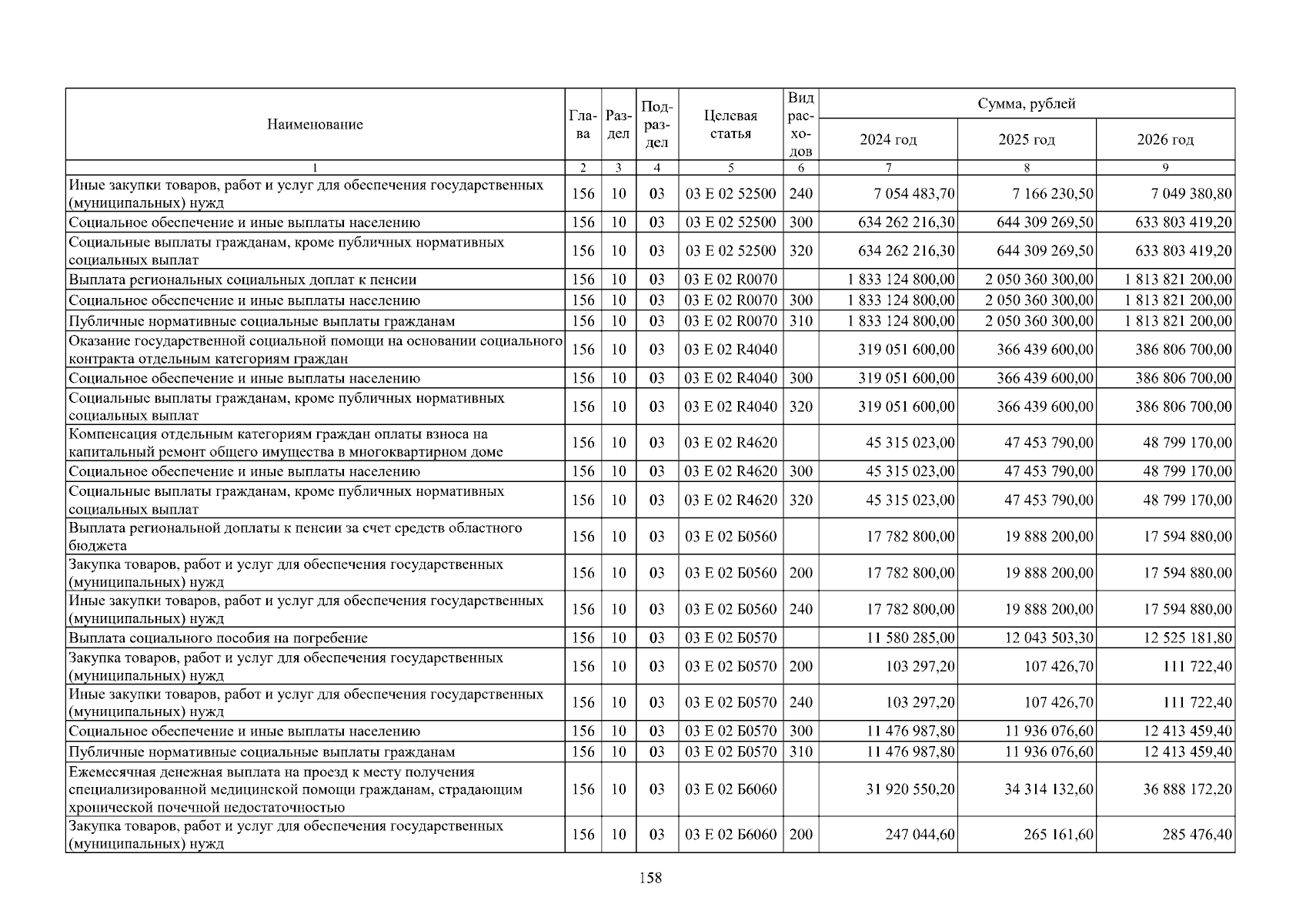
Областной закон Архангельской области от 15.12.2023 № 39-4-ОЗ
"Об областном бюджете на 2024 год и на плановый период 2025 и 2026 годов"
Номер опубликования: 2900202312190009
Дата опубликования: 19.12.2023
Страница №242 из 601:
Увеличить