Официальное опубликование правовых актов
ОФИЦИАЛЬНОЕ ОПУБЛИКОВАНИЕ
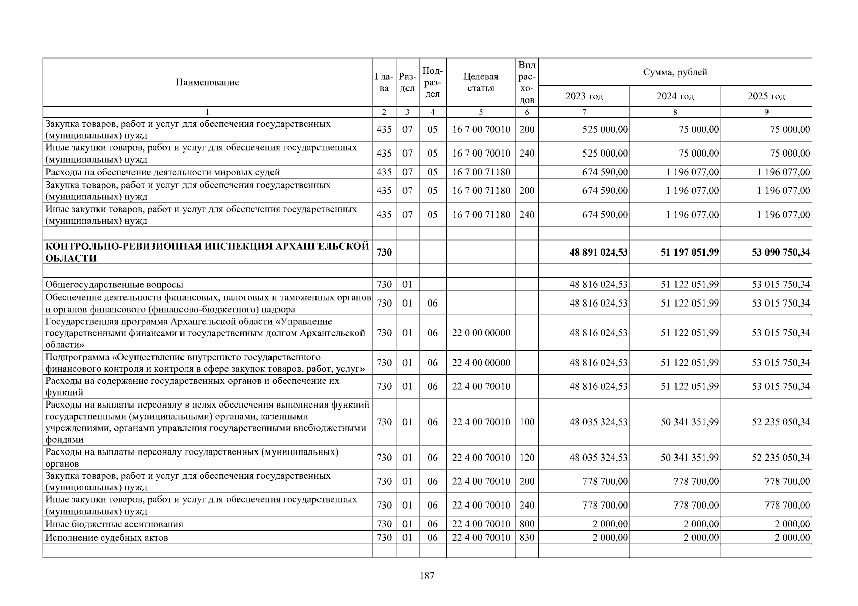
Областной закон Архангельской области от 15.12.2023 № 38-4-ОЗ
"О внесении изменений в областной закон "Об областном бюджете на 2023 год и на плановый период 2024 и 2025 годов"
Номер опубликования: 2900202312190005
Дата опубликования: 19.12.2023
Страница №219 из 352:
Увеличить