Официальное опубликование правовых актов
ОФИЦИАЛЬНОЕ ОПУБЛИКОВАНИЕ
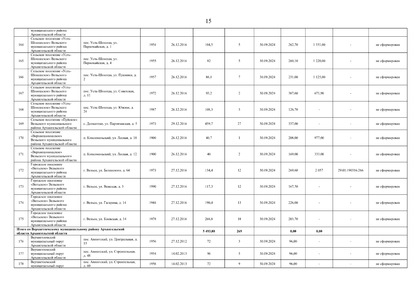
Постановление Правительства Архангельской области от 01.12.2023 № 1185-пп
"О внесении изменений в адресную программу Архангельской области "Переселение граждан из аварийного жилищного фонда на 2019 – 2025 годы"
Номер опубликования: 2900202312050003
Дата опубликования: 05.12.2023
Страница №16 из 114:
Увеличить