Официальное опубликование правовых актов
ОФИЦИАЛЬНОЕ ОПУБЛИКОВАНИЕ
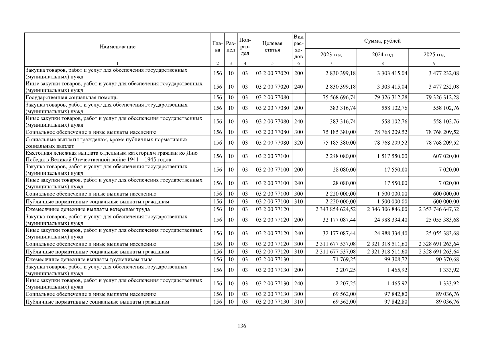
Областной закон Архангельской области от 21.11.2023 № 35-3-ОЗ
"О внесении изменений и дополнений в областной закон "Об областном бюджете на 2023 год и на плановый период 2024 и 2025 годов"
Номер опубликования: 2900202311210033
Дата опубликования: 21.11.2023
Страница №165 из 363:
Увеличить