Официальное опубликование правовых актов
ОФИЦИАЛЬНОЕ ОПУБЛИКОВАНИЕ
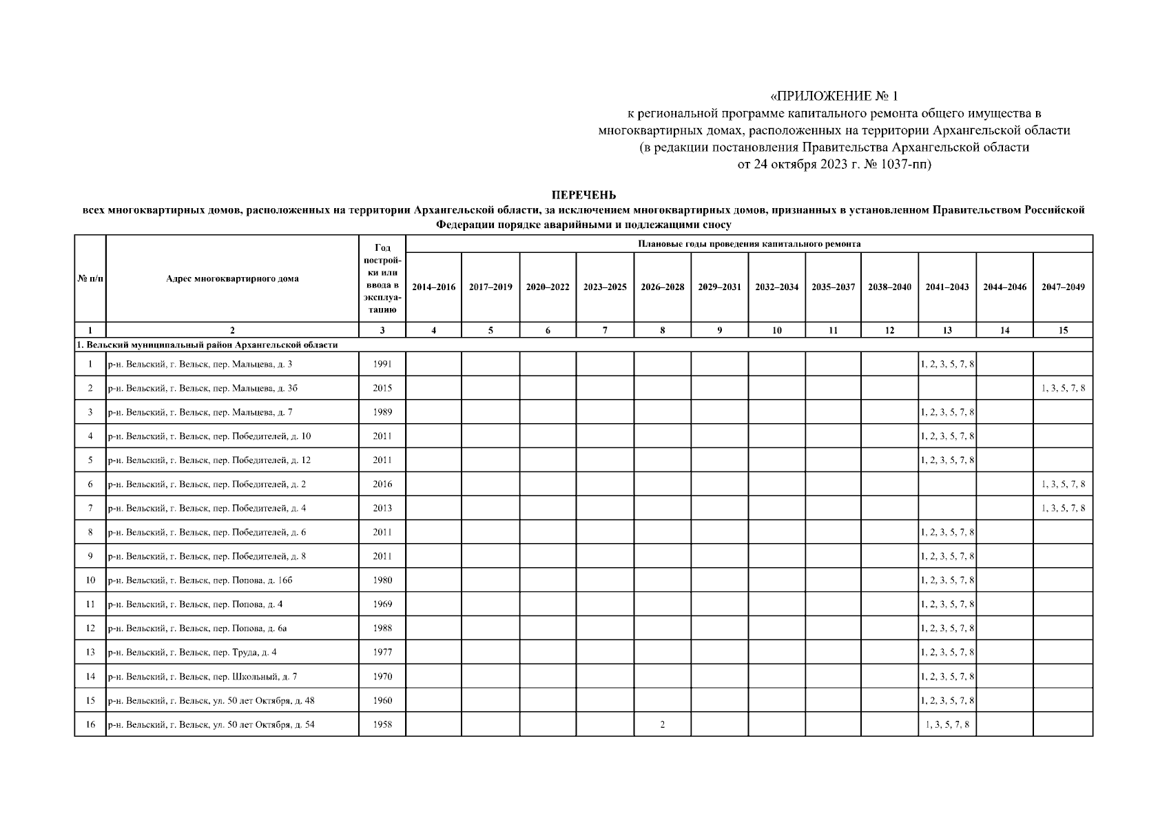
Постановление Правительства Архангельской области от 24.10.2023 № 1037-пп
"О внесении изменений в приложения № 1 и 2 к региональной программе капитального ремонта общего имущества в многоквартирных домах, расположенных на территории Архангельской области"
Номер опубликования: 2900202310270004
Дата опубликования: 27.10.2023
Страница №3 из 361:
Увеличить