Официальное опубликование правовых актов
ОФИЦИАЛЬНОЕ ОПУБЛИКОВАНИЕ
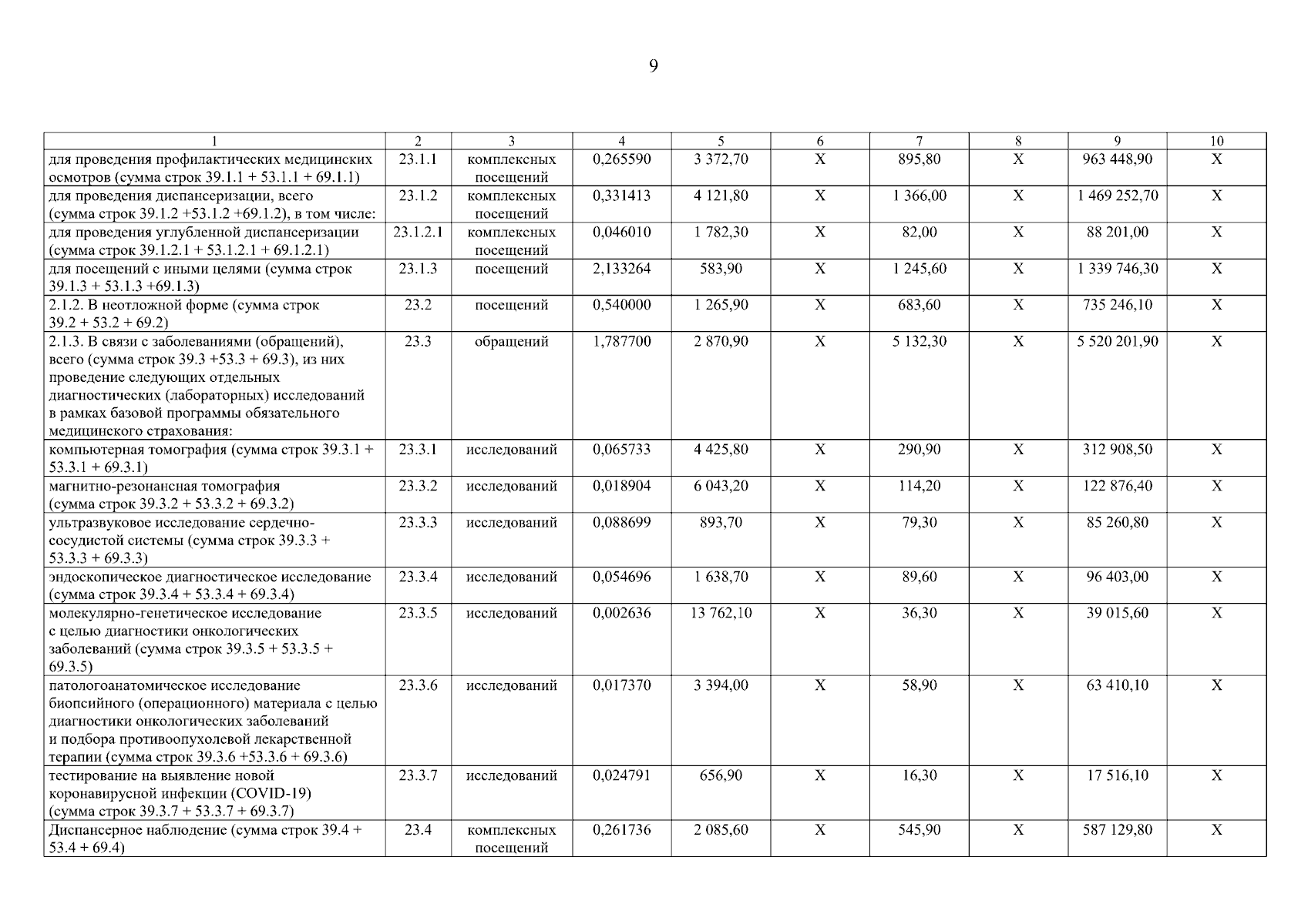
Постановление Правительства Архангельской области от 13.09.2023 № 854-пп
"О внесении изменений в территориальную программу государственных гарантий бесплатного оказания гражданам медицинской помощи в Архангельской области на 2023 год и на плановый период 2024 и 2025 годов"
Номер опубликования: 2900202309150008
Дата опубликования: 15.09.2023
Страница №10 из 21:
Увеличить