Официальное опубликование правовых актов
ОФИЦИАЛЬНОЕ ОПУБЛИКОВАНИЕ
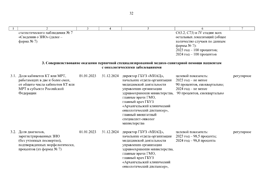
Постановление Правительства Архангельской области от 29.06.2023 № 581-пп
"О внесении изменений в программу Архангельской области "Борьба с онкологическими заболеваниями"
Номер опубликования: 2900202307050007
Дата опубликования: 05.07.2023
Страница №33 из 80:
Увеличить