Официальное опубликование правовых актов
ОФИЦИАЛЬНОЕ ОПУБЛИКОВАНИЕ
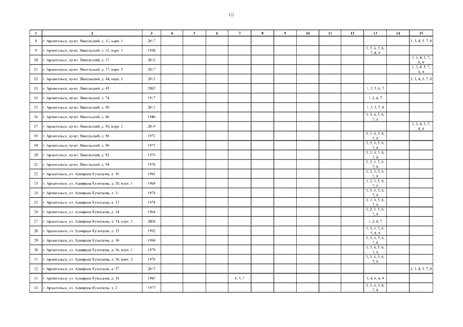
Постановление Правительства Архангельской области от 23.12.2022 № 1112-пп
"О внесении изменений в приложения № 1 и 2 к региональной программе капитального ремонта общего имущества в многоквартирных домах, расположенных на территории Архангельской области"
Номер опубликования: 2900202212260015
Дата опубликования: 26.12.2022
Страница №124 из 371:
Увеличить