Официальное опубликование правовых актов
ОФИЦИАЛЬНОЕ ОПУБЛИКОВАНИЕ
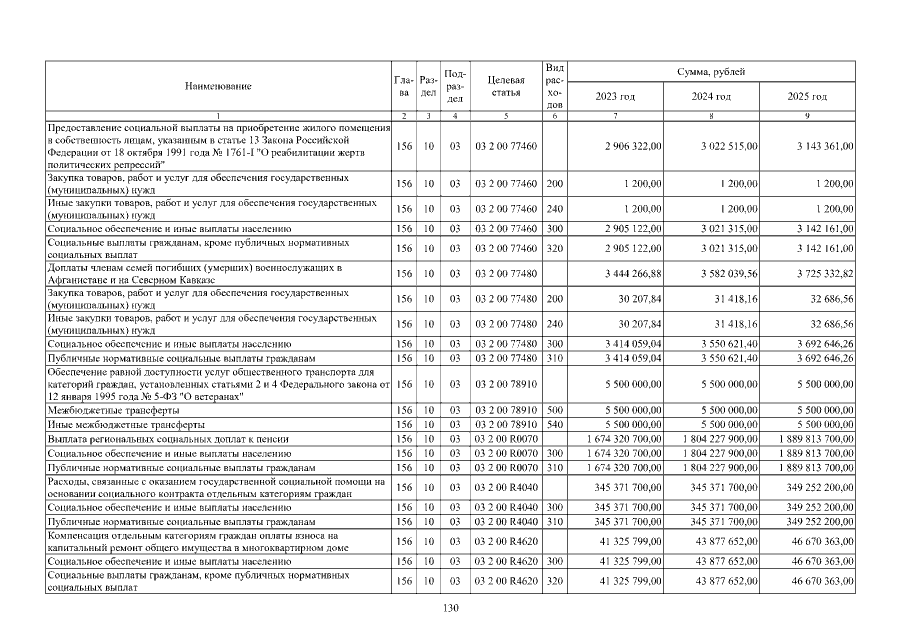
Областной закон Архангельской области от 20.12.2022 № 655-40-ОЗ
"Об областном бюджете на 2023 год и на плановый период 2024 и 2025 годов"
Номер опубликования: 2900202212200005
Дата опубликования: 20.12.2022
Страница №213 из 520:
Увеличить