Официальное опубликование правовых актов
ОФИЦИАЛЬНОЕ ОПУБЛИКОВАНИЕ
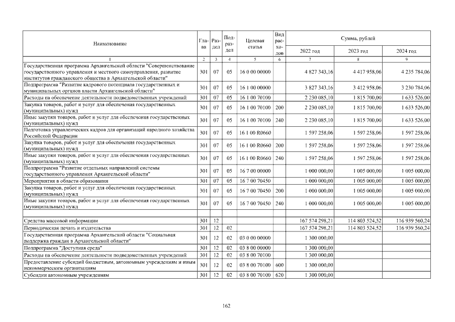
Областной закон Архангельской области от 20.12.2022 № 656-40-ОЗ
"О внесении изменений в областной закон "Об областном бюджете на 2022 год и на плановый период 2023 и 2024 годов"
Номер опубликования: 2900202212200004
Дата опубликования: 20.12.2022
Страница №192 из 327:
Увеличить