Официальное опубликование правовых актов
ОФИЦИАЛЬНОЕ ОПУБЛИКОВАНИЕ
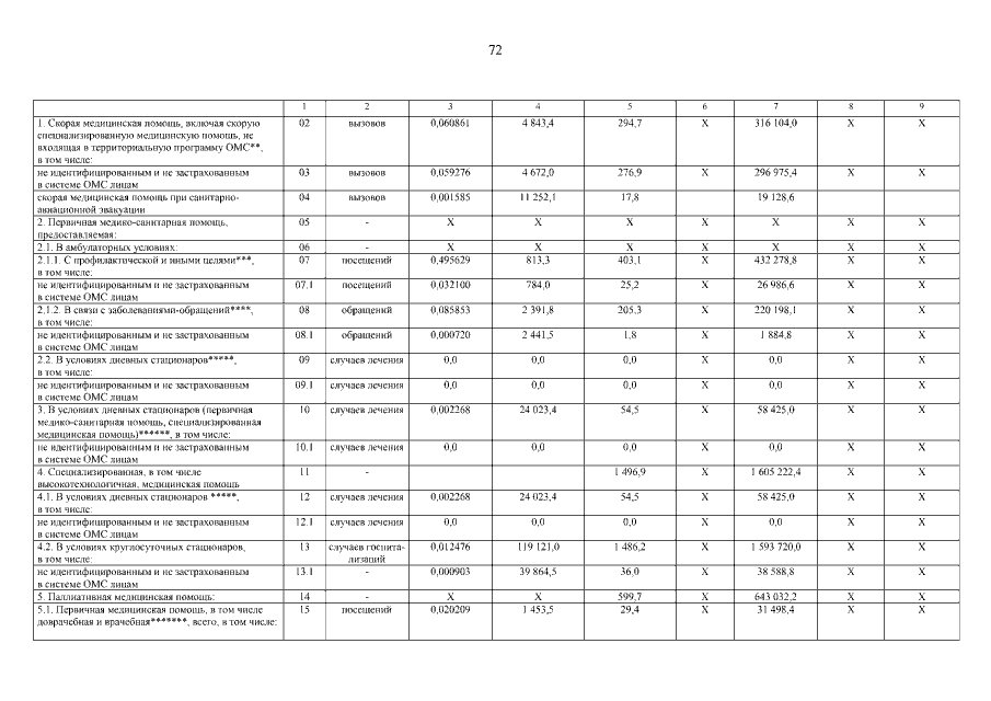
Постановление Правительства Архангельской области от 29.11.2022 № 976-пп
"О внесении изменений в территориальную программу государственных гарантий бесплатного оказания гражданам медицинской помощи в Архангельской области на 2022 год и на плановый период 2023 и 2024 годов"
Номер опубликования: 2900202211300007
Дата опубликования: 30.11.2022
Страница №73 из 84:
Увеличить