Официальное опубликование правовых актов
ОФИЦИАЛЬНОЕ ОПУБЛИКОВАНИЕ
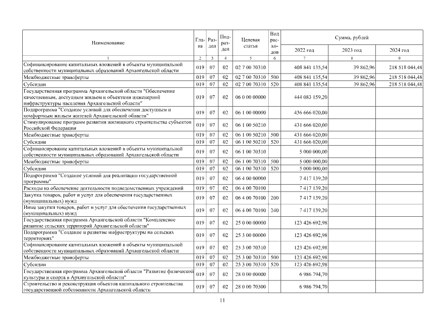
Областной закон Архангельской области от 26.10.2022 № 617-38-ОЗ
"О внесении изменений и дополнений в областной закон "Об областном бюджете на 2022 год и на плановый период 2023 и 2024 годов"
Номер опубликования: 2900202210270006
Дата опубликования: 27.10.2022
Страница №44 из 373:
Увеличить