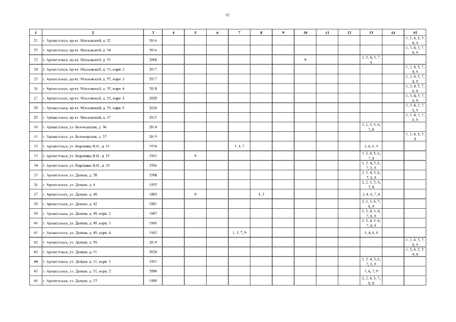
Постановление Правительства Архангельской области от 22.04.2022 № 256-пп
"О внесении изменений в приложения № 1 и 2 к региональной программе капитального ремонта общего имущества в многоквартирных домах, расположенных на территории Архангельской области"
"О внесении изменений в приложения № 1 и 2 к региональной программе капитального ремонта общего имущества в многоквартирных домах, расположенных на территории Архангельской области"
Номер опубликования: 2900202204260007
Дата опубликования:
26.04.2022
