Официальное опубликование правовых актов
ОФИЦИАЛЬНОЕ ОПУБЛИКОВАНИЕ
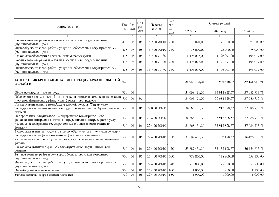
Областной закон Архангельской области от 23.03.2022 № 535-33-ОЗ
"О внесении изменений и дополнений в областной закон "Об областном бюджете на 2022 год и на плановый период 2023 и 2024 годов"
Номер опубликования: 2900202203230005
Дата опубликования: 23.03.2022
Страница №199 из 370:
Увеличить