Официальное опубликование правовых актов
ОФИЦИАЛЬНОЕ ОПУБЛИКОВАНИЕ
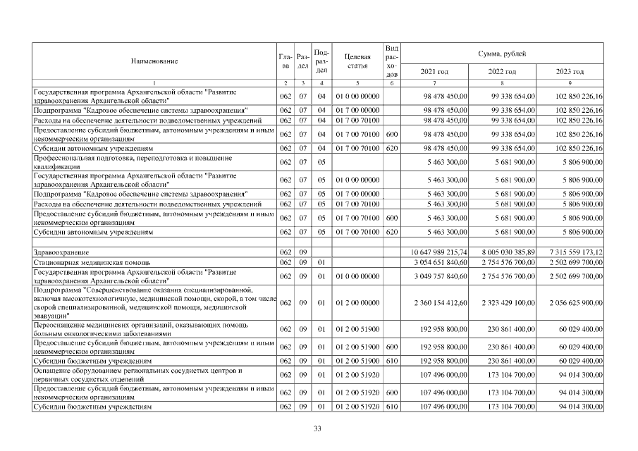
Областной закон Архангельской области от 22.12.2021 № 519-31-ОЗ
"О внесении изменений и дополнений в областной закон "Об областном бюджете на 2021 год и на плановый период 2022 и 2023 годов"
Номер опубликования: 2900202112220017
Дата опубликования: 22.12.2021
Страница №59 из 350:
Увеличить