Официальное опубликование правовых актов
ОФИЦИАЛЬНОЕ ОПУБЛИКОВАНИЕ
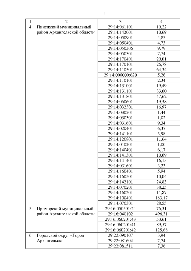
Областной закон Архангельской области от 28.06.2021 № 444-27-ОЗ
"Об определении территорий Архангельской области, в границах которых земельные участки могут быть предоставлены гражданам в безвозмездное пользование в соответствии с Федеральным законом "Об особенностях предоставления гражданам земельных участков, находящихся в государственной или муниципальной собственности и расположенных в Арктической зоне Российской Федерации и на других территориях Севера, Сибири и Дальнего Востока Российской Федерации, и о внесении изменений в отдельные законодательные акты Российской Федерации"
Номер опубликования: 2900202106290011
Дата опубликования: 29.06.2021
Страница №4 из 5:
Увеличить