Официальное опубликование правовых актов
ОФИЦИАЛЬНОЕ ОПУБЛИКОВАНИЕ
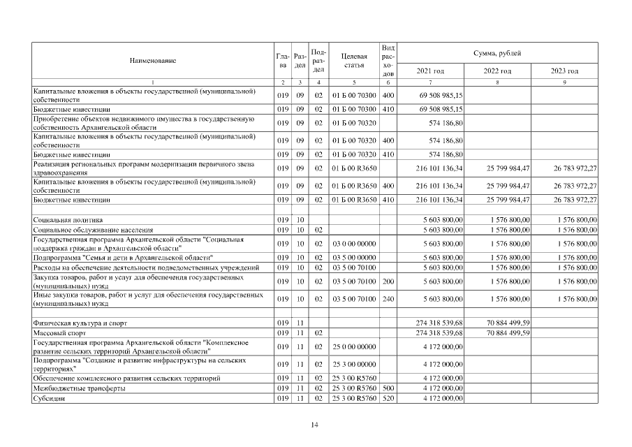
Областной закон Архангельской области от 28.06.2021 № 440-27-ОЗ
"О внесении изменений и дополнений в областной закон "Об областном бюджете на 2021 год и на плановый период 2022 и 2023 годов"
Номер опубликования: 2900202106290006
Дата опубликования: 29.06.2021
Страница №41 из 304:
Увеличить