Официальное опубликование правовых актов
ОФИЦИАЛЬНОЕ ОПУБЛИКОВАНИЕ
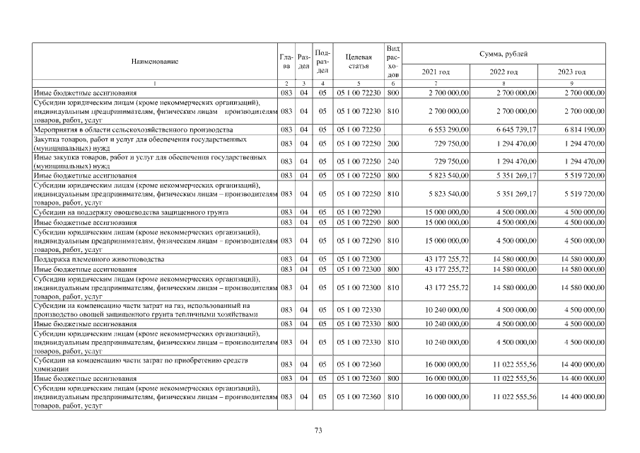
Областной закон Архангельской области от 30.03.2021 № 394-24-ОЗ
"О внесении изменений и дополнений в областной закон "Об областном бюджете на 2021 год и на плановый период 2022 и 2023 годов"
Номер опубликования: 2900202103310022
Дата опубликования: 31.03.2021
Страница №104 из 354:
Увеличить