Официальное опубликование правовых актов
ОФИЦИАЛЬНОЕ ОПУБЛИКОВАНИЕ
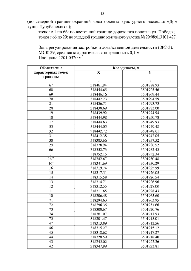
Постановление Правительства Архангельской области от 11.11.2020 № 742-пп
"Об утверждении зон охраны объектов культурного наследия (памятников истории и культуры) народов Российской Федерации, расположенных на территории села Красноборск Красноборского муниципального района Архангельской области, режимов использования земель и требований к градостроительным регламентам в границах таких зон охраны"
Номер опубликования: 2900202011230002
Дата опубликования: 23.11.2020
Страница №20 из 82:
Увеличить