Постановление Правительства Архангельской области от 24.12.2019 № 745-пп
"О внесении изменений в адресную программу Архангельской области "Переселение граждан из аварийного жилищного фонда на 2019 – 2025 годы"
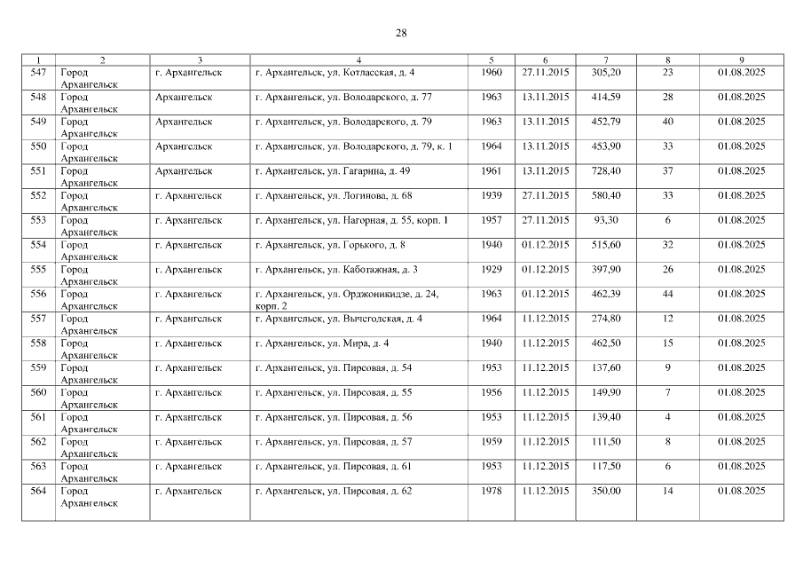
"О внесении изменений в адресную программу Архангельской области "Переселение граждан из аварийного жилищного фонда на 2019 – 2025 годы"
Номер опубликования: 2900201912310004
Дата опубликования:
31.12.2019
