Официальное опубликование правовых актов
ОФИЦИАЛЬНОЕ ОПУБЛИКОВАНИЕ
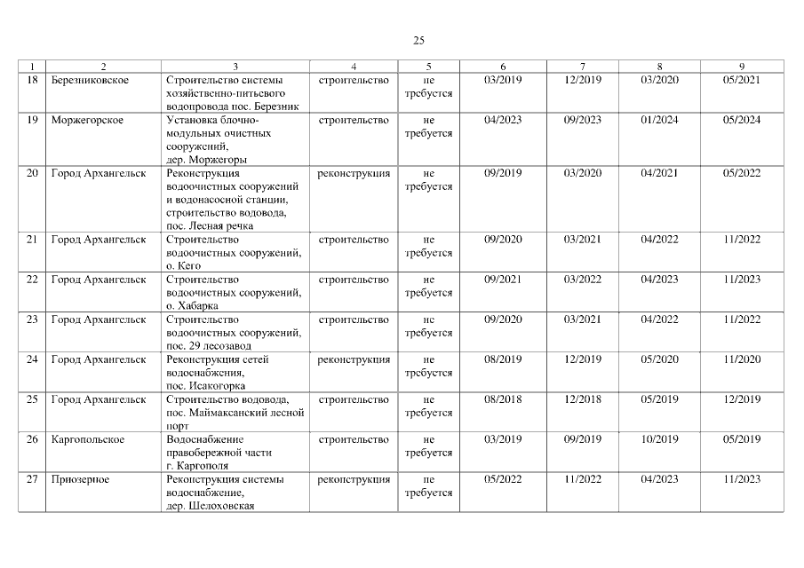
Постановление Правительства Архангельской области от 24.12.2019 № 746-пп
"О внесении изменений в региональную программу Архангельской области "Чистая вода (2019 – 2024 годы)"
Номер опубликования: 2900201912260006
Дата опубликования: 26.12.2019
Страница №26 из 36:
Увеличить