Официальное опубликование правовых актов
ОФИЦИАЛЬНОЕ ОПУБЛИКОВАНИЕ
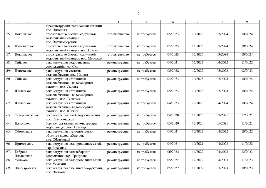
Постановление Правительства Архангельской области от 30.07.2019 № 403-пп
"Об утверждении региональной программы Архангельской области "Чистая вода (2019 – 2024 годы)"
Номер опубликования: 2900201908060007
Дата опубликования: 06.08.2019
Страница №81 из 98:
Увеличить