Официальное опубликование правовых актов
ОФИЦИАЛЬНОЕ ОПУБЛИКОВАНИЕ
Постановление Правительства Архангельской области от 26.03.2019 № 153-пп
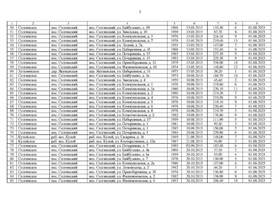
"Об утверждении адресной программы Архангельской области "Переселение граждан из аварийного жилищного фонда на 2019 – 2025 годы"
Номер опубликования: 2900201904020004
Дата опубликования: 02.04.2019
Страница №29 из 103:
Увеличить