Официальное опубликование правовых актов
ОФИЦИАЛЬНОЕ ОПУБЛИКОВАНИЕ
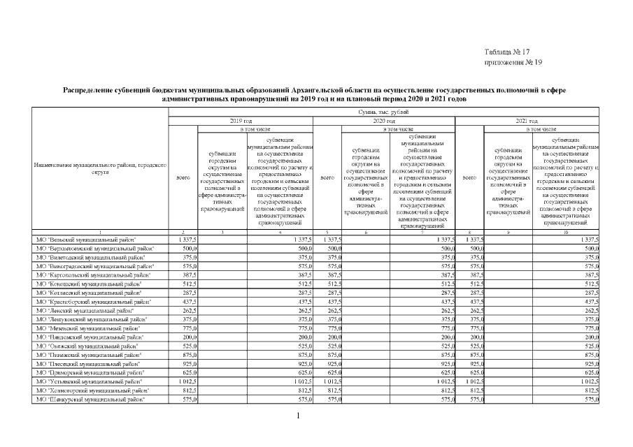
Областной закон Архангельской области от 17.12.2018 № 35-4-ОЗ
"Об областном бюджете на 2019 год и на плановый период 2020 и 2021 годов"
Номер опубликования: 2900201812180003
Дата опубликования: 18.12.2018
Страница №502 из 576:
Увеличить