Официальное опубликование правовых актов
ОФИЦИАЛЬНОЕ ОПУБЛИКОВАНИЕ
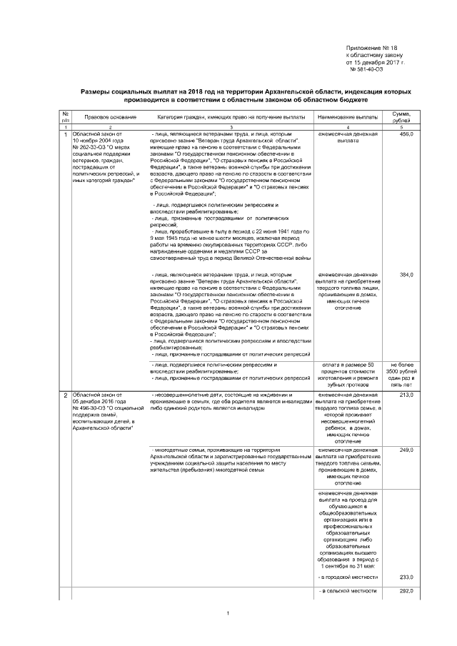
Областной закон Архангельской области от 15.12.2017 № 581-40-ОЗ
"Об областном бюджете на 2018 год и на плановый период 2019 и 2020 годов"
Номер опубликования: 2900201712200001
Дата опубликования: 20.12.2017
Страница №446 из 535:
Увеличить