Официальное опубликование правовых актов
ОФИЦИАЛЬНОЕ ОПУБЛИКОВАНИЕ
Постановление Правительства Архангельской области от 28.02.2017 № 92-пп
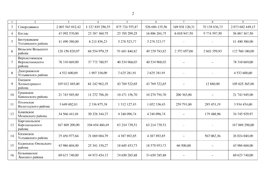
"О внесении изменений в адресную программу Архангельской области "Переселение граждан из аварийного жилищного фонда" на 2013 – 2017 годы"
Номер опубликования: 2900201703090007
Дата опубликования: 09.03.2017
Страница №3 из 142:
Увеличить