Официальное опубликование правовых актов
ОФИЦИАЛЬНОЕ ОПУБЛИКОВАНИЕ
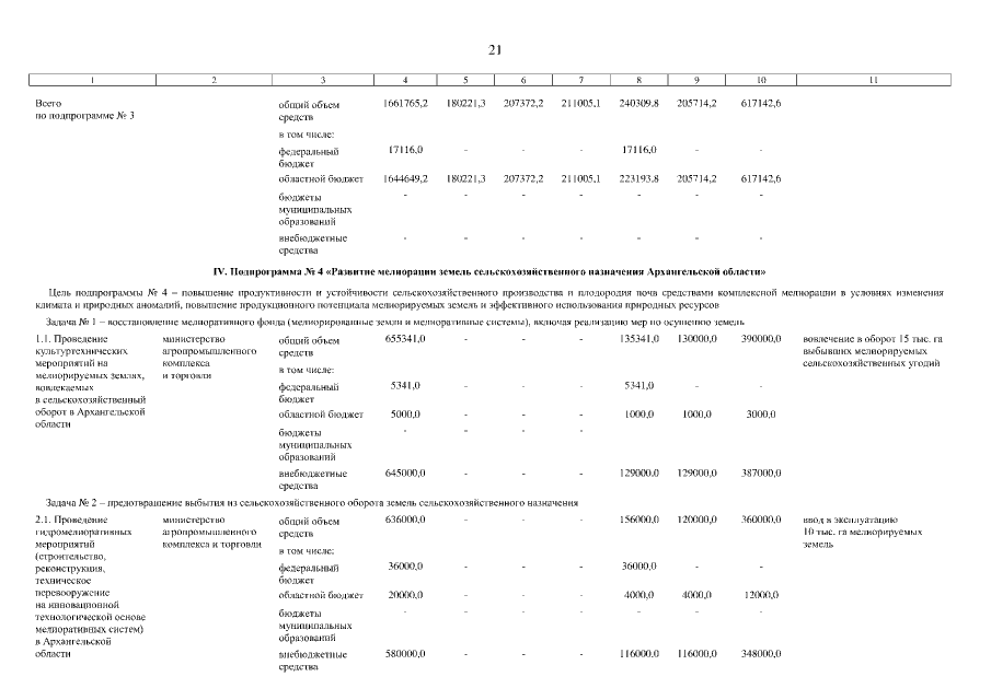
Постановление Правительства Архангельской области от 18.10.2016 № 432-пп
"О внесении изменений в государственную программу развития сельского хозяйства и регулирования рынков сельскохозяйственной продукции, сырья и продовольствия Архангельской области на 2013 – 2020 годы"
Номер опубликования: 2900201610240009
Дата опубликования: 24.10.2016
Страница №22 из 26:
Увеличить