Официальное опубликование правовых актов
ОФИЦИАЛЬНОЕ ОПУБЛИКОВАНИЕ
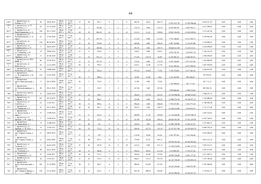
Постановление Правительства Архангельской области от 20.05.2016 № 173-пп
"О внесении изменений в адресную программу Архангельской области "Переселение граждан из аварийного жилищного фонда" на 2013 – 2017 годы"
Номер опубликования: 2900201605250003
Дата опубликования: 25.05.2016
Страница №45 из 113:
Увеличить