Официальное опубликование правовых актов
ОФИЦИАЛЬНОЕ ОПУБЛИКОВАНИЕ
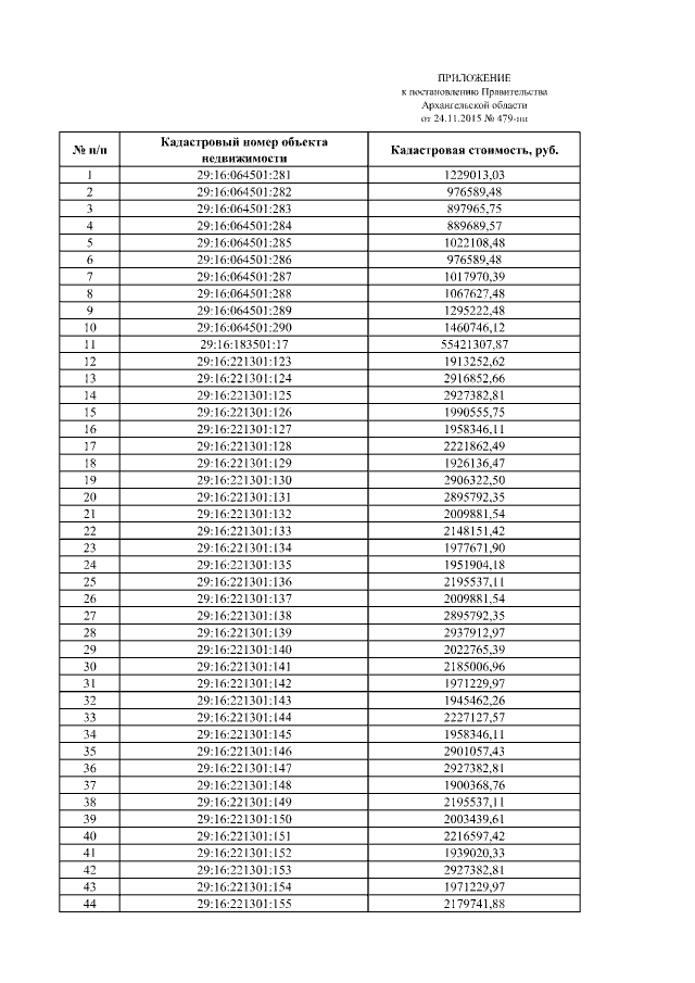
Постановление Правительства Архангельской области от 24.11.2015 № 479-пп
"Об устранении ошибок в результатах государственной кадастровой оценки объектов недвижимости на территории Архангельской области"
Номер опубликования: 2900201511300009
Дата опубликования: 30.11.2015
Страница №2 из 1313:
Увеличить